¸ß¾«¶ÈԱ߷´À¡ºãÁ÷ºãѹоƬ-PN8611
×ֺţºT|T
¡¡¡¡PN8611¸ß¾«¶ÈԱ߷´À¡ºãÁ÷ºãѹоƬÊÇÒ»¿î¸ßÐÔÄܵÄԱ߷´À¡¿ØÖÆÆ÷¡£PN8611¹¤×÷ÔÚԱ߼ì²âºÍµ÷Õûģʽ£¬¿ÉÊ¡ÂÔϵͳµÄ¹âñîºÍTL431¡£PN8611ÓµÓкãѹºãÁ÷¿ØÖÆ»·Â·£¬¿ÉÒÔʵÏָ߾«¶ÈµÄºãѹ¡¢ºãÁ÷Êä³ö£¬ÒÔÂú×ã´ó²¿·Ö³äµçÆ÷ºÍÊÊÅäÆ÷ÐèÇó¡£PN8611ÄÚÖøßѹÆô¶¯µç·ºÍ¼«µÍµÄоƬ¹¦ºÄʹµÃϵͳÄܹ»Âú×ã½Ï¸ßµÄ´ý»ú¹¦ºÄ±ê×¼¡£
¡¡¡¡
¡¡¡¡1. ¸ßѹÆô¶¯¿ØÖÆ¡¡¡¡
¡¡¡¡ÔÚÆô¶¯½×¶Î£¬²ÉÓøßѹÆô¶¯¼¼Êõ£¬Ð¾Æ¬Æô¶¯Ç°2mAµçÁ÷ԴΪÄÚ²¿Æ«Öõç·¹©µç²¢¸øÍⲿVDDµçÈݳäµç£¬¿ìËÙÆô¶¯¡£µ±VDDµçѹ´ïµ½VDDon£¬Ð¾Æ¬¿ªÊ¼¹¤×÷µÄͬʱ¸ßѹÆô¶¯µç·¹Ø¶Ï£»Ö»ÒªVDDµçѹ²»µÍÓÚVDDoff£¬Ð¾Æ¬Î¬³ÖÕý³£¹¤×÷¡£Æô¶¯ºó£¬Æ«Öõç·ͨ¹ý¸¨ÖúÔ´¹©µç£¬Í¬Ê±Æô¶¯µç·ֻÓÐһ·¼«Ð¡µÄµçÁ÷£¬ÊµÏÖµÍËðºÄ¡£
¡¡¡¡
¡¡¡¡2. CC ¹¤×÷ģʽ¡¡¡¡
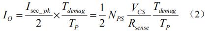
¡¡¡¡ÔÚCC¹¤×÷״̬£¬PN8611Ա߷´À¡ºãÁ÷ºãѹоƬ²ÉÑùFBÒý½ÅµÄÐźţ¨Óɸ¨ÖúÈÆ×éÐźÅͨ¹ýµç×è½ÓÈëFB£©£¬¸¨ÖúÈÆ×éÐźÅÂö¿í¾ö¶¨Õñµ´ÆµÂÊ¡£Êä³öµçѹԽ¸ß£¬Âö¿íԽС£¬Í¬Ê±Õñµ´ÆµÂÊÔ½¸ß£¬ÕâÑù¿É»ñµÃºã¶¨µÄÊä³öµçÁ÷¡£·ÇÁ¬ÐøÄ£Ê½µÄµçÁ÷¹¤×÷²¨ÐÎÈçͼ1Ëùʾ¡£ÔÚMOSFETµ¼Í¨£¨Ton£©ÆÚ¼ä£¬Ô±ßµçÁ÷IpriÉÏÉý¡£µ±MOSFET¹Ø±Õʱ£¬±äѹÆ÷ԱߵÄÄÜÁ¿»á´«µÝµ½´Î¼¶£¬´Î¼¶µçÁ÷×î´óֵΪ
¡¡¡¡

¡¡¡¡Êä³öµçÁ÷ֵΪ¡¡
¡¡

¡¡¡¡µ±TP=2×Tdemag£¬ÇÒVCSºã¶¨Ê±£¬Êä³öµçÁ÷IOÊǺ㶨ֵ£¬Òò´Ë¿ÉÒԵõ½ºãÁ÷Êä³ö¡£

¡¡¡¡
¡¡¡¡3. CV ¹¤×÷ģʽ¡¡¡¡
¡¡¡¡ÔÚCV¹¤×÷״̬£¬PN8611Ա߷´À¡ºãÁ÷ºãѹоƬʹÓÃÂö³å²ÉÑùVFBµçѹ£¬²¢±£³Öµ½Ï¸ö²ÉÑùµã¡£½«²ÉÑùµÄµçѹºÍVREF_CV»ù×¼±È½Ï£¬²¢·Å´óÎó²î¡£Õâ¸öÎó²îÖµ´ú±í¸ºÔØÇé¿ö£¬Í¨¹ý¿ØÖÆ¿ª¹ØÐźţ¬µ÷½ÚÊä³öµçѹ£¬Ê¹µÃÊä³öºã¶¨¡£
¡¡¡¡
¡¡¡¡Êä³öµçѹVoºÍVREF_CVµÄ¹ØÏµÎª¡¡¡¡

¡¡¡¡ÆäÖУ¬ NS ºÍ NAUX ·Ö±ðΪ´Î¼¶ÈÆ×éºÍ¸¨ÖúÈÆ×éµÄȦÊý¡£
¡¡¡¡
¡¡¡¡ÔÚÖØÔØÌõ¼þ£¬Ð¾Æ¬¹¤×÷ÔÚPFMģʽ£¬Ipeak²»±ä£¬¹¤×÷ƵÂÊËæÊä³öµçÁ÷¼õС¶ø¼õС£»µ±ÆµÂʼõСµ½25kHz×óÓÒ£¬Ð¾Æ¬½øÈëPWMģʽ£¬ÆµÂʵ÷ÖÆ±äµÃ·Ç³£»ºÂý£¬IpeakËæÊä³öµçÁ÷¼õС¶ø¼õС£¬¸Ãģʽ¿ÉÒÔ±ÜÃâÒôƵÔëÒô£¬Í¬Ê±ÓÐÀûÓÚÌáÉý25%´øÔØÐ§ÂÊ£»µ±Ð¾ Ƭ Ipeak µ÷ÖÆµ½ 200mA £¬Ð¾Æ¬½øÈë¿ÕÔØÄ£Ê½£¨Standbyģʽ£©£¬Ipeak²»±ä£¬¹¤×÷ƵÂÊËæÊä³öµçÁ÷¼õС¶ø¼õС£¬²¨ÐÎÈçͼ2Ëùʾ¡£
¡¡¡¡

¡¡¡¡4. µçÁ÷¼ì²âºÍÇ°ÑØÏûÒþ¡¡¡¡
¡¡¡¡PN8611¸ß¾«¶ÈԱ߷´À¡ºãÁ÷ºãѹоƬÌṩÖðÖÜÆÚµçÁ÷¼ì²â¹¦ÄÜ¡£Ð¾Æ¬Í¨¹ýÖÇÄÜMOS²ÉÑù¹Ü¼ì²â¹¦ÂʹܵçÁ÷£¬Ô±ßµçÁ÷×î´óÖµÉèÖÃΪ520mA£¬×î´óÊä³ö¹¦ÂÊÓÉоƬ¹Ì¶¨¡£¹¦ÂʹܿªÍ¨Ë²¼ä»á²úÉú¼â·åµçѹ£¬ÄÚ²¿Ç°ÑØÏûÒþµç·¿É·ÀÖ¹Îó´¥·¢¡£
¡¡¡¡
¡¡¡¡5. ±£»¤¿ØÖÆ¡¡¡¡
¡¡¡¡PN8611¸ß¾«¶ÈԱ߷´À¡ºãÁ÷ºãѹоƬº¬ÓзḻµÄ±£»¤¹¦ÄÜ£¬°üÀ¨£ºÖðÖÜÆÚ¹ýÁ÷±£»¤¡¢Êä³ö¹ýѹ±£»¤¡¢¹ýα£»¤¡¢¿ª»·±£»¤¡¢Êä³ö¶Ì·±£»¤¡¢VDDÇ·Ñ¹Ëø¶¨±£»¤¹¦ÄÜ£¬²¢ÇÒÕâЩ±£»¤¾ßÓÐ×Ô»Ö¸´Ä£Ê½¡£
¡¡¡¡æê΢µç×Ó´úÀíÏúÊÛ¸÷´óÆ·ÅÆµÄ³äµçÆ÷оƬ¡¢ÊÊÅäÆ÷оƬ¡¢Ð¡¼ÒµçоƬµÈ¸÷Ààµç×ÓÔªÆ÷¼þ£¬¿ÉÒÔÂú×ãÊг¡¶àÑù»¯µÄÐèÇó£¬Îª¿Í»§Ìṩ¸ßÐԼ۱ȡ¢ÐÔÄÜÓÅÒ졢ƷÖÊÎȶ¨µÄµçÔ´·½°¸¼°ÏÖ³¡¼¼ÊõÖ§³Ö·þÎñ£¬¸ü¶àÏà¹Ø·½°¸×ÊÁÏ¿ÉÏòÎÒÃÇÉêÇë¡£>>
¡¡¡¡æê΢µç×Ó´úÀíÏúÊÛ¸÷´óÆ·ÅÆµÄ³äµçÆ÷оƬ¡¢ÊÊÅäÆ÷оƬ¡¢Ð¡¼ÒµçоƬµÈ¸÷Ààµç×ÓÔªÆ÷¼þ£¬¿ÉÒÔÂú×ãÊг¡¶àÑù»¯µÄÐèÇó£¬Îª¿Í»§Ìṩ¸ßÐԼ۱ȡ¢ÐÔÄÜÓÅÒ졢ƷÖÊÎȶ¨µÄµçÔ´·½°¸¼°ÏÖ³¡¼¼ÊõÖ§³Ö·þÎñ£¬¸ü¶àÏà¹Ø·½°¸×ÊÁÏ¿ÉÏòÎÒÃÇÉêÇë¡£>>
ÉÏһƪ£º СÌå»ý20W PD¿ì³ä·½°¸ ÏÂһƪ£º2021Äê´º½Ú·Å¼Ù֪ͨ£¡
Ïà¹Ø×ÊѶ
- 2020ÎåÒ»ÀͶ¯½Ú·Å¼Ù֪ͨ£¡
- ϲºØ£¬Ð¾Åó΢¿Æ´´°åÉÏÊУ¬ÊÐÖµ³¬140ÒÚ£¡
- SDH8594ASÄÚÖøßѹMOS¹ÜµÄԱ߿ØÖÆÐ¾Æ¬
- ¸»Âú20-65W PDÐÒéоƬ
- ¿ªÒµ´ó¼ª | ÉîÛÚÊÐæê΢µç×Ó-Äþ²¨·Ö¹«Ë¾£¡
- µÍ³É±¾µÍ¹¦ºÄÎÞÏß¿ÉÊÓÃÅÁåic
- È«Ì׸߼¯³É18W USB PD¿ì³ä·½°¸£¬ÒÑÁ¿²ú³ö»õ
- PD¿ì³äоƬPN8307Mͬ²½ÕûÁ÷Æ÷
- оÅóPN8161+PN8307H 18W¸ß¼¯³ÉPD¿ì³ä·½°¸Ó¦
- ЯÊÖ²¢½ø£¬æê΢µç×ÓÐøÇ©chipown´úÀíÉÌ£¡
ͬÀàÎÄÕÂÅÅÐÐ
- ³£ÓõçÔ´¹ÜÀíоƬÐͺŽéÉÜ
- PN8680MÌæ´úOB2500POP½ÅλһÑù£¬ÎÞÐè¸Ä°åÊ¡
- AP8012H´ú»»ST Viper12A¿ÉPIN to PIN¼æÈÝ
- Ö÷Á÷µÄ¿ì³äÐÒéоƬPD³äµçоƬ
- ¸»ÂúpdÐÒéоƬϵÁУ¬pd¿ì³äÐÒéоƬѡÐÍ£¡
- 200V¸ßÄÍѹDC-DC½µÑ¹Ð͵綯³µ¿ØÖÆÆ÷оƬ
- ¸»Âú20-65W PDÐÒéоƬ
- PN8046¿íÊä³ö·Ç¸ôÀëת»»Ð¾Æ¬
- PN8036M¿íÊä³ö·¶Î§·Ç¸ôÀëac/dcµçԴоƬ
- оÅó΢£¨°²Ç÷£©µç»úÇý¶¯Ð¾Æ¬Ñ¡ÐÍÖ¸ÄÏ£¡
×îÐÂÎÄÕÂ×ÊѶ
- æê΢µç×Ó | ϲǨÐÂÖ·£¬ÐøÐ´·¢Õ¹ÐÂÆªÕ£¡
- оÅó΢20ÖÜÄê | ´úÀíÊÜÑû¼û֤оÁ¦Á¿£¬¹²¸°
- ¹ýÈÏÖ¤¡¢µÍ³É±¾ | 65W-PD-2C1Aµª»¯ïØÉè¼Æ·½
- ¿ªÒµ´ó¼ª | ÉîÛÚÊÐæê΢µç×Ó-Äþ²¨·Ö¹«Ë¾£¡
- ϲºØÐ¾Åó΢ף¾¸²©Ê¿ÈÙ»ñ¡°½ËÕÇàÄêÎåËĽ±ÕÂ
- CR6212_5V/12V¸ßЧÂÊ¡¢µÍ³É±¾µçÔ´·½°¸£¬Íê
- 2024ÄêÕ¹³á·ÉÏè | 2023Äê¶ÈÒµÎñ×ܽύÁ÷´ó
- ÕæÃ¯¼ÑÖúÁ¦µç¶¯Æû³µÁªÃËÆû³µµç×ÓÔªÆ÷¼þ¹¤×÷
- îýÁ¦AP30H80Q vbus¿ª¹ØMOS»ñµÃ°²¿Ë67W 2C1A
- Ê¿À¼Î¢650V¸ßѹ³¬½áSTSϵÁУ¬¹ã·ºÓ¦ÓÃÓÚÏû
°¢Àï°Í°ÍµêÆÌ
¹Ø×¢æê΢
ÊÕ²Øæê΢

