·´¼¤µçÔ´¹ÜÀíоƬ¿ª»úÓ°ÏìÒòËØ¼°¸ÄÉÆ´ëÊ©
×ֺţºT|T
¡¡¡¡¹ØÓÚ·´¼¤µçÔ´¿ª»ú£¬×ÅÖØ·ÖÎöSSRÓëPSRµçÔ´¹ÜÀíоƬµÄÆô¶¯¿ØÖÆ·½Ê½¶Ô¿ª»úÑÓʱʱ¼ä¡¢ÉÏÉýʱ¼ä¡¢Êä³öµçѹ¹ý³åµÈ¿ª»úÖ¸±êµÄ¾ßÌåÓ°Ïì¼°¸ÄÉÆ´ëÊ©¡£
¡¡¡¡
¡¡¡¡¿ª»úÖ¸±ê¶¨Ò壺¡¡¡¡
¡¡¡¡¿ª»úÑÓʱʱ¼äTd£º´ÓÊäÈëµçѹVac(t)½ÓÈëµ½Êä³öµçѹVo½¨Á¢ËùÐèÒªµÄʱ¼ä£¬¿ª»úÑÓʱʱ¼äÒ»°ãÐèҪСÓÚ3Ãë¡£¡¡¡¡
¡¡¡¡Êä³öµçѹÉÏÉýʱ¼äTr£ºÊä³öµçѹ´Ó10%ÉÏÉýµ½90%ËùÐèµÄʱ¼ä¡£¡¡¡¡
¡¡¡¡Êä³öµçѹ¹ý³å£º (Vomax-Vo)/Vo£¬ÐèҪСÓÚ10%ÏÞÖÆ¡£
¡¡¡¡
¡¡¡¡¿ª»úÑÓʱʱ¼äÓëоƬÆô¶¯·½Ê½£º¡¡¡¡
¡¡¡¡Ð¾Æ¬Æô¶¯·½Ê½°üÀ¨¸ßѹÆô¶¯¡¢ÇÅǰµç×èÆô¶¯¡¢Çźóµç×èÆô¶¯ÈýÖÖ£¬ Æä¾ö¶¨ÁË¿ª»úÑÓʱʱ¼ä£¬²¢Ó°Ïì´ý»ú¹¦ÂÊ£¬¶Ô±ÈÈçϱíËùʾ¡£

¡¡¡¡
¡¡¡¡ÉÏÉýʱ¼ä¼°¹ý³åÓëоƬ¿ØÖÆ·½Ê½£º
¡¡¡¡Ð¾Æ¬¿ØÖÆ·½Ê½Í¨³£°üÀ¨CV¿ØÖÆ¡¢CC+CV¿ØÖÆ£¬Êä³öµçѹÉÏÉýʱ¼ä¼°¹ý³åÔÚ²»Í¬¿ØÖÆ·½Ê½Ï±íÏÖåÄÒì¡£
¡¡¡¡
¡¡¡¡CV¿ØÖÆ£ºSSR¼Ü¹¹Ò»°ã²ÉÓÃCV¿ØÖÆ£¬¼ò»¯Í¼ÈçÏ£¬¿É¼ûµçѹ»·Îó²îÁ¿¾PIµ÷½ÚºóΪԱ߿ª¹Ø¹ÜµçÁ÷Ìṩ·åÖµµçÁ÷²Î¿¼Ipref ¡£

¡¡¡¡
¡¡¡¡ÔÚÆô»ú˲̬ʱ£¬ÓÉÓÚVoÉÐ佨Á¢£¬ Îó²îÁ¿×î´ó£¬ Èô²»ÏÞÖÆ(ÈíÆô¶¯) Ipref ´ï×î´óÖµ£¬¿ÉÊÓΪ×î´ó¹¦ÂÊÆô¶¯¡£Òò¶øCV¿ØÖƶԿª»úÖ¸±êµÄÓ°Ï죺ÉÏÉýʱ¼ä×î¶Ì£¬Êä³öµçѹ¹ý³åÊÜ¿ª»·´«µÝº¯Êý´©Ô½ÆµÂÊÏÞÖÆ¡£
¡¡¡¡
¡¡¡¡¸ÄÉÆ´ëÊ©£ºÎª¼õС¿ª»úÓ¦Á¦£¬¿ØÖÆÐ¾Æ¬»á¼ÓÈ뼸msÈíÆô¶¯£¬ÔÚÈíÆô¶¯Ê±¼äÄÚ Ipref ²»Êܵçѹ»·Îó²îÓ°Ï죬·Ö¶à¸ǫ̈½×Öð²½ÉÏÉý£¬µ¼Í¨Ê±¼ä»ºÂýÔö¼Ó£º


¡¡¡¡
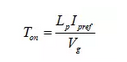
¡¡¡¡£¨ÆäÖÐLP Ϊ±äѹÆ÷³õ¼¶¸ÐÁ¿£¬Vg ΪÕûÁ÷ºóµçѹ£©
¡¡¡¡
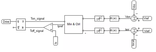
¡¡¡¡CC+CV¿ØÖÆ£ºPSR¼Ü¹¹Ò»°ã²ÉÓÃCC+CV¿ØÖÆ¡£ÈçÏÂͼËùʾ£¬ÔÚÆô»ú½×¶Î£¬Êä³öµçѹÉÐδ´ïµ½É趨ֵʱ£¬Îó²îÁ¿½Ï´ó£¬Òò´ËCC»·Æð×÷Ó㬵±Êä³öµçѹ´ïµ½É趨ֵºó£¬CV»·½Ó¹Ü¡£

¡¡¡¡
¡¡¡¡¿É¼ûCC+CV¿ØÖÆÆô¶¯½×¶ÎµÈ¼ÛΪºãÁ÷Ô´ Io ¶ÔÊä³öµçÈÝCo ¼°¸ºÔØRo ³äµç£º


¡¡¡¡
¡¡¡¡Òò¶øCC+CV¿ØÖƶԿª»úÖ¸±êµÄÓ°Ï죺ÉÏÉýʱ¼ä³¤£¬Êä³öµçѹÎÞ¹ý³å¡£
¡¡¡¡
¡¡¡¡¸ÄÉÆ´ëÊ©£ºÎªËõ¶ÌÉÏÉýʱ¼ä£¬Ð¾Åó΢µÚËÄ´úPSR²úÆ·(ÈçPN8395ϵÁÐ)ÔÚÊä³öµçѹ½¨Á¢Ö®Ç°ÒÔ×î´ó¹¦ÂÊÆô¶¯£¬´Ó¶ø½«ÉÏÉýʱ¼äѹËõÔÚÊýÊ®msÒÔÄÚ£¬½â¾öÁË´«Í³PSR¿ØÖƵIJ»×㣺¹¦ÂÊÔ½´ó£¬ÉÏÉýʱ¼äÔ½³¤¡£
ÉÏһƪ£º³äµç±£»¤icоƬ×÷ÓÃÓÐÄÄЩ£¿ ÏÂһƪ£ºÐ¾Æ¬icÊÇÔõÃ´ÖÆÔìµÄ£¿
Ïà¹Ø×ÊѶ
- ¼¸ÖÖ³£¼ûµÄledÇý¶¯Ð¾Æ¬µçÔ´·½°¸ÒÔ¼°×¢ÒâÊÂ
- LNK364Ìæ»»Ð¾Æ¬PN8192Cµç´Å¯µçԴоƬ£¬Íâ
- viper12aÌæ´úоƬAP8012H pin to pin¼æÈݲ»
- 20W¸ß¼¯³É¶È¡¢¸ßЧÂÊÎÞÏ߳䷢Éä¿ØÖÆÐ¾Æ¬
- pwm¿ØÖÆÐ¾Æ¬ÔÀíÒÔ¼°Ó¦ÓÃÁìÓò
- µçÔ´¹ÜÀíоƬÐÐÒµÀ§¾³¼°·¢Õ¹Ç÷ÊÆ£¡
- Ö÷Á÷ÊÖ»ú³§É̵çÔ´¹ÜÀíоƬÏÖ×´·ÖÎö£¡
- dc dc½µÑ¹ºãÁ÷оƬ
- ¹ú²úÊÖ»úµçÔ´icÏÖ×´ÓëÇ÷ÊÆ·ÖÎö
- ncp1342Ìæ´úÁÏPN8213µª»¯ïØpd³äµçÆ÷оƬ
ͬÀàÎÄÕÂÅÅÐÐ
- ap8022´ú»»viper22a¿É¼æÈÝ£¬²»¸ÄPCB¼°ÍâΧ
- µçԴоƬsdh8302s¿ÉPIN½Å´ú»»VIPER12A/AP80
- ʲôÊÇMOS¹ÜµÄÑ©±À¼°mos¹ÜÑ©±À»÷´©ÔÀí£¡
- ³£ÓÃdc-dc½µÑ¹Ð¾Æ¬ÍƼö
- ¹ú²úµçÔ´¹ÜÀíоƬÓÐÄÄЩ£¿
- IR4427Ìæ»»Ð¾Æ¬ID1127Ë«µÍ²à¡¢´óµçÁ÷Çý¶¯£¬
- sdh8303´ú»»viper22a/AP8012H£¬PIN½Å¼æÈÝÎÞ
- PN555LÄÚÖÃ690VС¹¦ÂʷǸôÀëоƬ¿ÉÌæPN8008
- ³£ÓõÍѹmos¹ÜÐͺż°Ñ¡ÐÍ£¡
- ¿ª¹ØµçԴԱ߷´À¡£¨PSR£©¼¼ÊõÉî¶È½âÎö!
×îÐÂÎÄÕÂ×ÊѶ
- ¹ýÈÏÖ¤¡¢µÍ³É±¾ | 65W-PD-2C1Aµª»¯ïØÉè¼Æ·½
- ¿ªÒµ´ó¼ª | ÉîÛÚÊÐæê΢µç×Ó-Äþ²¨·Ö¹«Ë¾£¡
- ϲºØÐ¾Åó΢ף¾¸²©Ê¿ÈÙ»ñ¡°½ËÕÇàÄêÎåËĽ±ÕÂ
- CR6212_5V/12V¸ßЧÂÊ¡¢µÍ³É±¾µçÔ´·½°¸£¬Íê
- 2024ÄêÕ¹³á·ÉÏè | 2023Äê¶ÈÒµÎñ×ܽύÁ÷´ó
- ÕæÃ¯¼ÑÖúÁ¦µç¶¯Æû³µÁªÃËÆû³µµç×ÓÔªÆ÷¼þ¹¤×÷
- îýÁ¦AP30H80Q vbus¿ª¹ØMOS»ñµÃ°²¿Ë67W 2C1A
- Ê¿À¼Î¢650V¸ßѹ³¬½áSTSϵÁУ¬¹ã·ºÓ¦ÓÃÓÚÏû
- оÅóPN8213»ñƷʤ65Wµª»¯ïسäµçÆ÷²ÉÓ㬿É
- æê΢µç×ӲμÓÉúÃüÓ¦¼±¡°¾È¡±ÔÚÉí±ß£¬¼±¾È¼¼
°¢Àï°Í°ÍµêÆÌ
¹Ø×¢æê΢
ÊÕ²Øæê΢

